- 
                                        
                                        张家界学院2024年专升本非免试生拟录取名单公示根据湖南省教育厅《关于做好2024年湖南省普通高等学校专升本考试招生工作的通知》(湘教发〔2023〕50号)和《张家界学院2024年专升本招生章程》相关规定,我 升本资讯 2024-06-03
- 
                                        
                                        2024年湖南应用技术学院专升本考试拟录取名单公示根据湖南省教育厅《关于做好2024年湖南省普通高等学校专升本考试招生工作的通知》(湘教发〔2023〕50号)及省教育考试院《关于做好2024年湖南省普通高等学校 升本资讯 2024-06-03
- 
                                        
                                        湖南科技学院2024年专升本普通考生拟录取名单公示根据湖南省教育厅《关于做好2024年湖南省普通高等学校专升本考试招生工作的通知》(湘教发〔2023〕50号)和《湖南科技学院2024年专升本招生章程》相关规定, 升本资讯 2024-06-03
- 
                                        
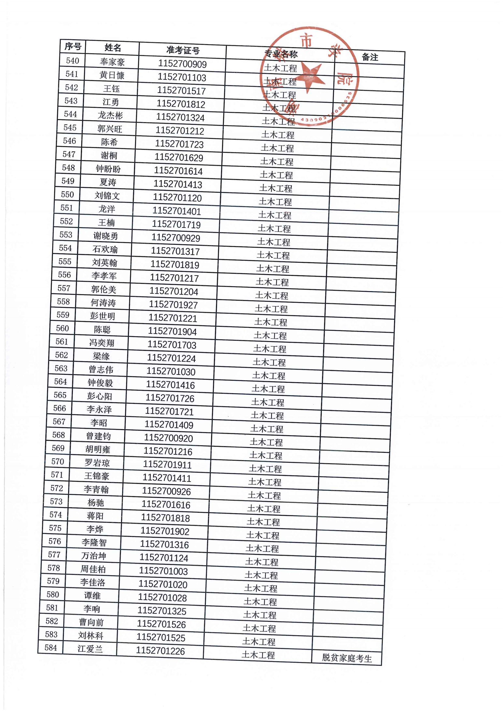
                                        湖南城市学院2024年专升本考试拟录取名单公示根据湖南省教育厅《关于做好我省2024年普通高等学校专升本考试招生工作的通知》(湘教发〔2023〕50号)、《关于做好我省2024年普通高等学校专升本考试招生工 升本资讯 2024-06-03
- 
                                        
                                        邵阳学院2024年“专升本”招生考试拟录取名单公示按照《湖南省2024年普通高等学校专升本考试招生工作实施方案》(湘教发[2023]50号)和省教育考试院《关于做好2024年普通高等学校专升本招生录取工作的通知 升本资讯 2024-06-03
- 
                                        
                                        湖南女子学院2024年专升本普通类招生拟录取名单公示根据湖南省教育厅《关于做好2024年湖南省普通高等学校专升本考试招生工作的通知》(湘教发〔2023〕50号)等文件精神,我校已顺利完成了2024年专升本普通类招 升本资讯 2024-06-03


 
  
  
  
  
  
  
 
                                             
 
                                             
 
                                             
 
                                            