湖南城市学院2024年专升本考试拟录取名单公示
更新时间:2024-06-03
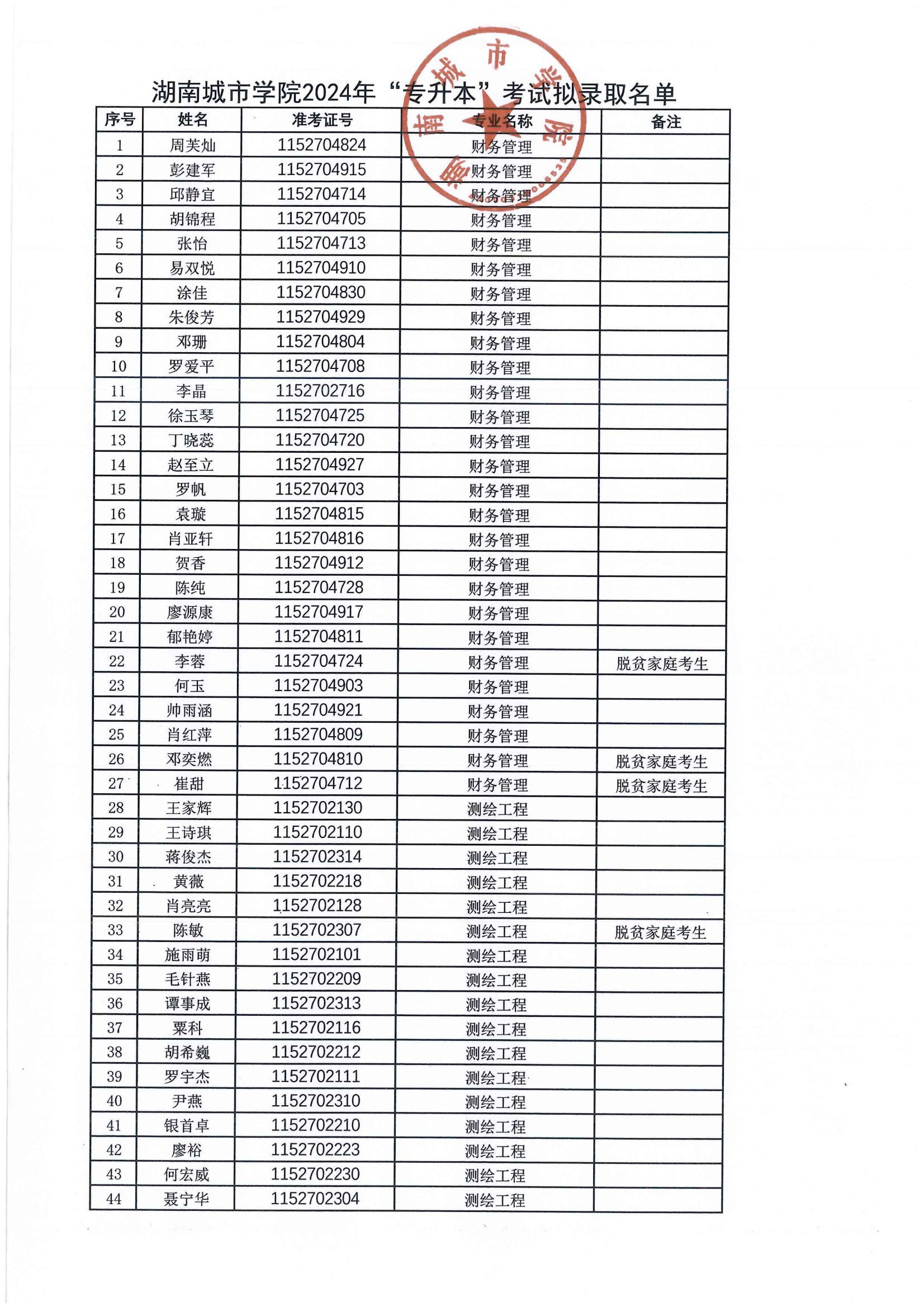
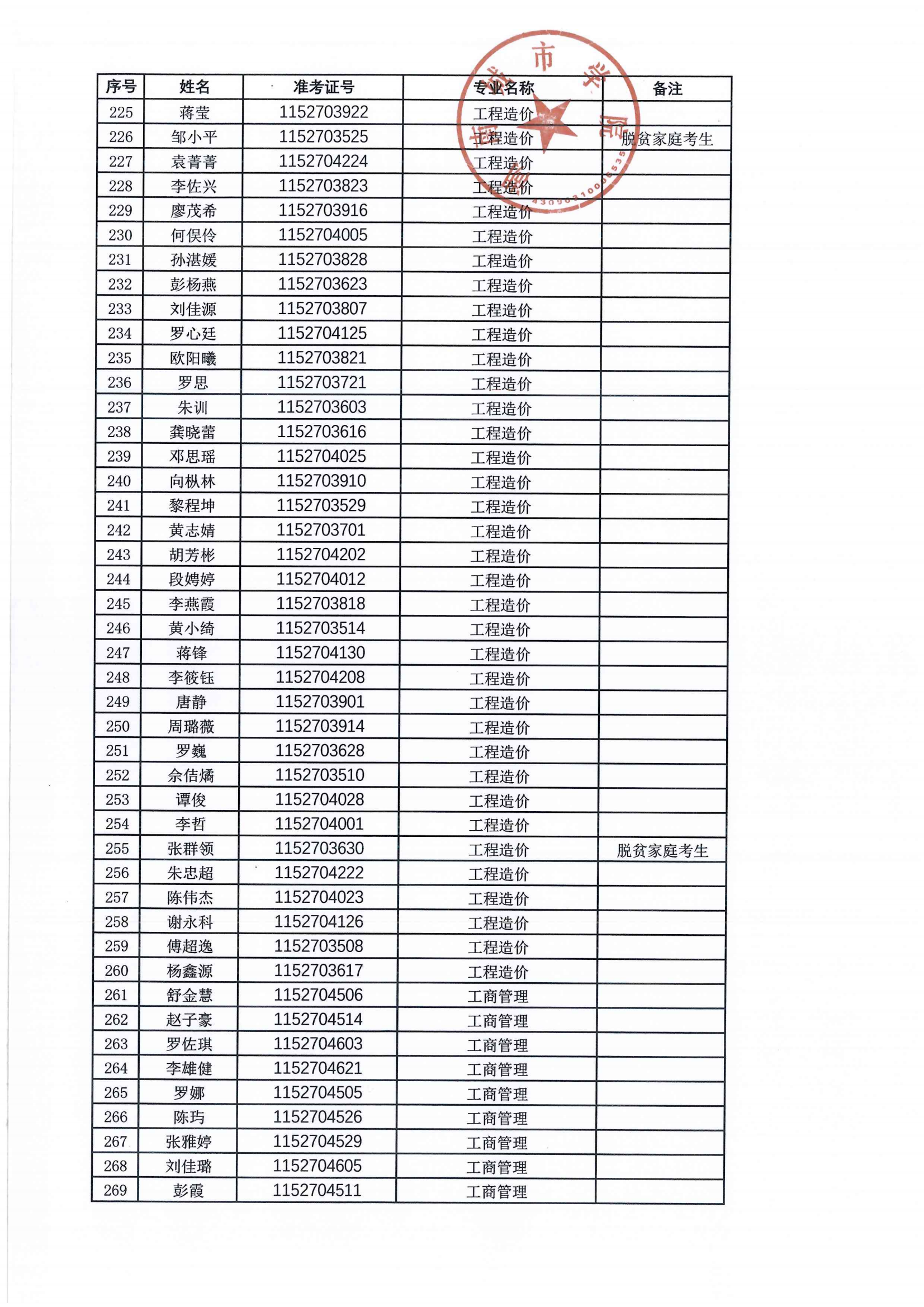
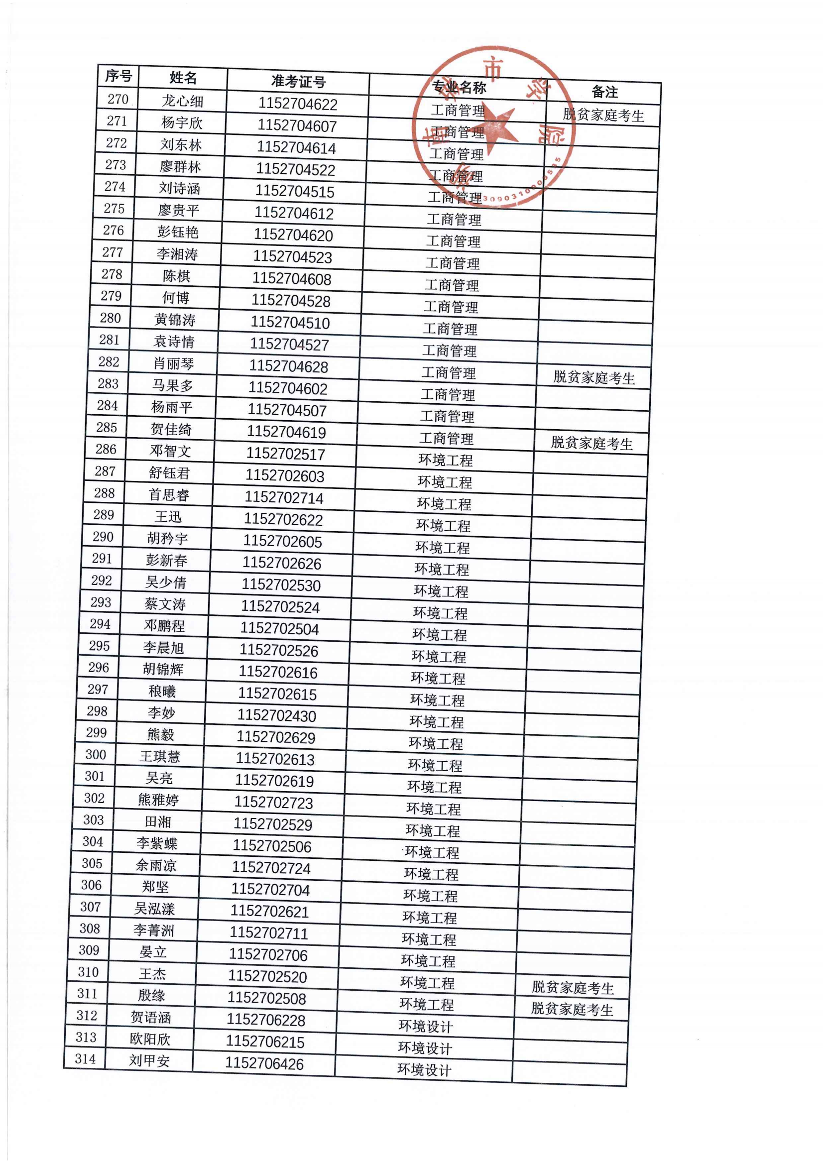
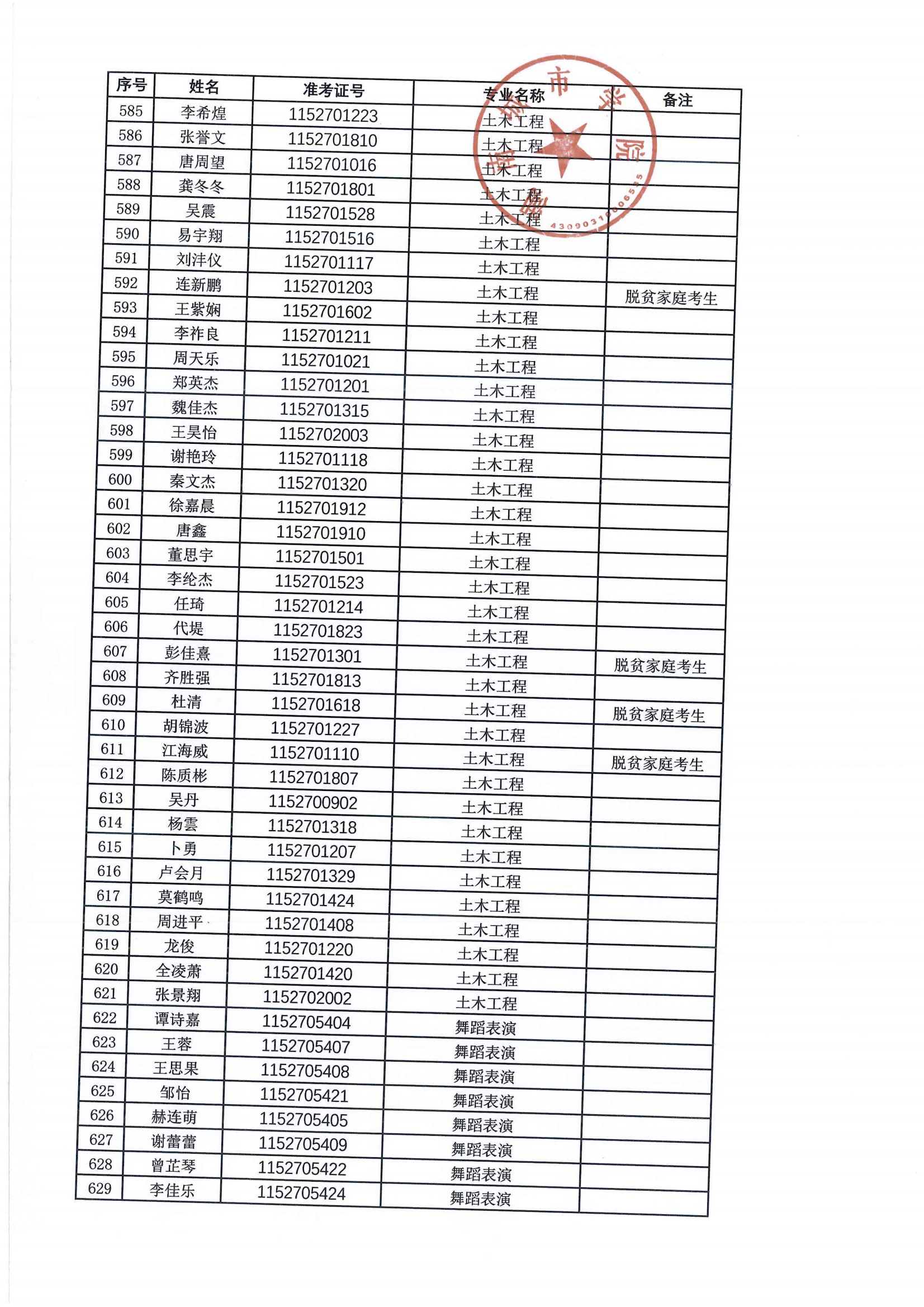
根据湖南省教育厅《关于做好我省2024年普通高等学校专升本考试招生工作的通知》(湘教发〔2023〕50号)、《关于做好我省2024年普通高等学校专升本考试招生工作实施工作的通知》(湘教考成字〔2024〕2号)及《湖南城市学院2024年专升本招生章程》,经过我校专升本领导小组审核,并按程序上报湖南省教育考试院审定,现将 674名拟录取学生名单予以公示(具体名单见附件)。
公示期为2024年6月3日至9日。公示期间,如有异议,可以通过书面形式实名向学校纪委办公室或教务处反映。
教务处联系电话:0737-6353086
纪委、监察专员办公室电话:0737-6110025

















 
 
                                             
 
                                             
 
                                             
 
                                            