-
中南林业科技大学2024年专升本考试招生拟录取情况公示
根据湖南省教育厅《2024年湖南省普通高等学校专升本考试招生工作实施方案》《中南林业科技大学2024年专升本招生章程》等文件精神,我校严格按有关要求组织了免试生
升本资讯 2024-06-04 -
长沙师范学院2024年专升本招生考试普通计划拟录取学生名单公示
根据湖南省教育厅《关于做好 2024 年湖南省普通高等学校专升本考试招生工作的通知》(湘教发〔2023〕50号)及湖南省教育考试院《关于做好我省2024年普通高
升本资讯 2024-06-04 -
衡阳师范学院南岳学院2024年专升本普通计划考生拟录取名单公示
根据湖南省教育厅《关于做好2024年湖南省普通高等学校专升本考试招生工作的通知》(湘教发〔2023〕50号)、《关于做好2024年普通高等学校专升本招生录取工作
升本资讯 2024-06-04 -
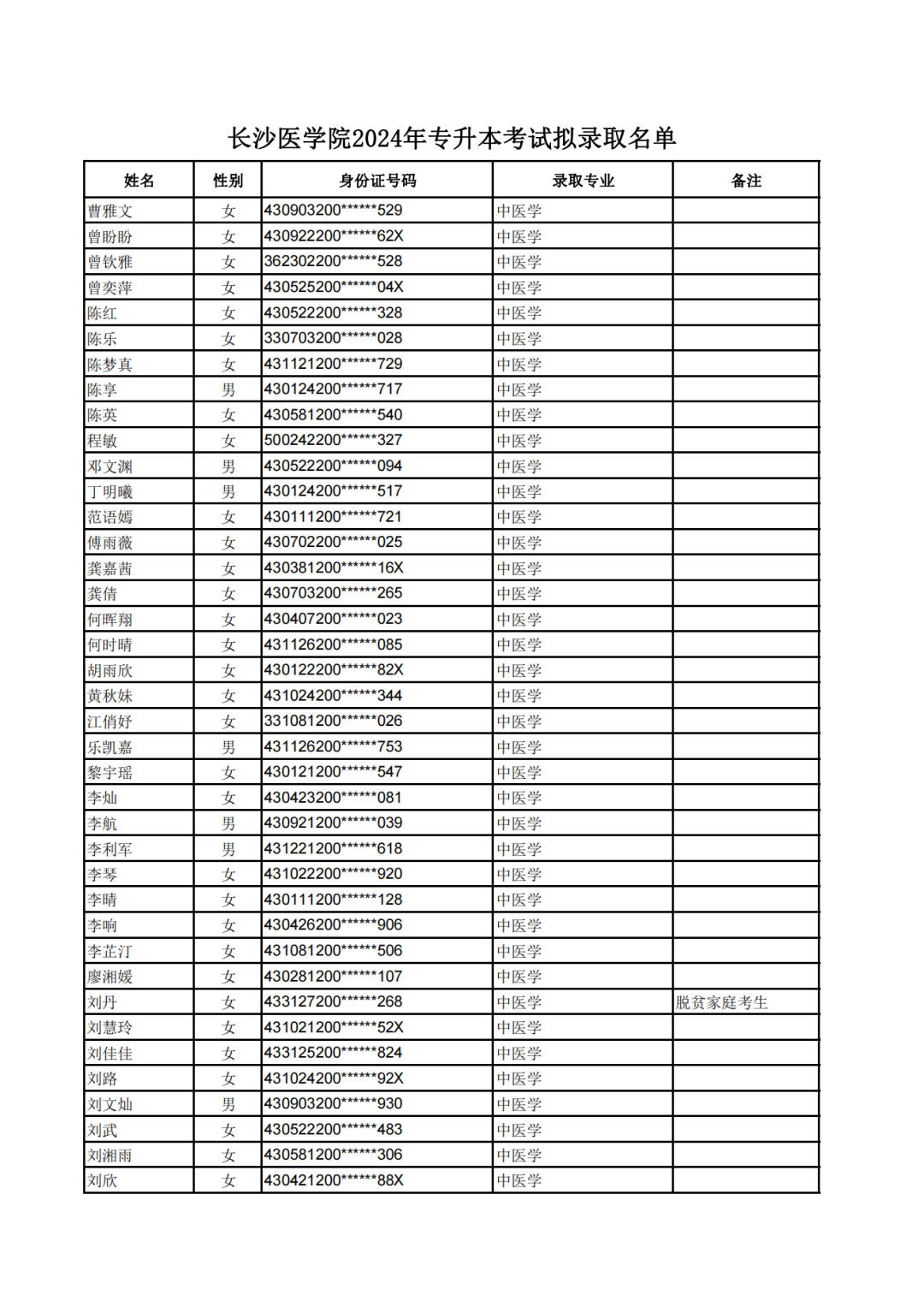
长沙医学院2024年专升本考试拟录取名单
根据湖南省教育厅《关于做好2024年湖南省普通高等学校专升本考试招生工作的通知》(湘教发〔2023〕50号)和《长沙医学院2024年专升本招生章程》等文件精神,
升本资讯 2024-06-03 -
湖南人文科技学院2024年专升本普通计划拟录取考生名单公示
升本资讯 2024-06-03 -
长沙学院2024年专升本非免试生拟录取名单公示
根据湖南省教育厅《湖南省2024年普通高等学校专升本考试招生工作实施方案》(湘教发〔2023〕50号)和《长沙学院2024年专升本招生章程》相关规定,我校组织了
升本资讯 2024-06-03

