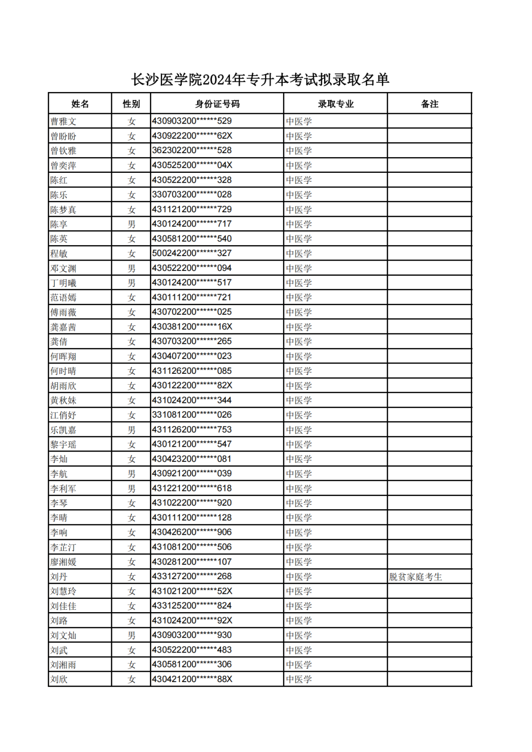
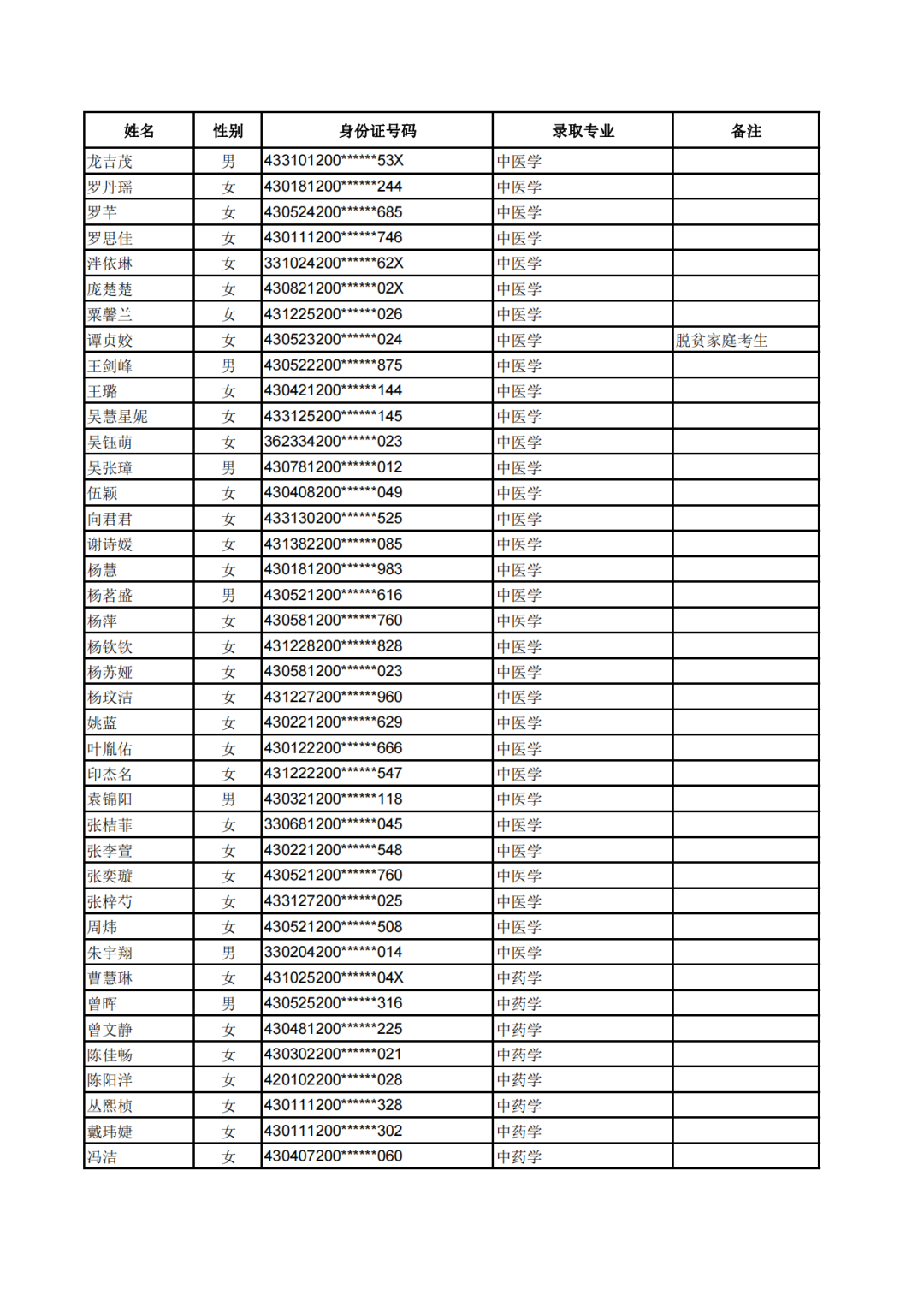
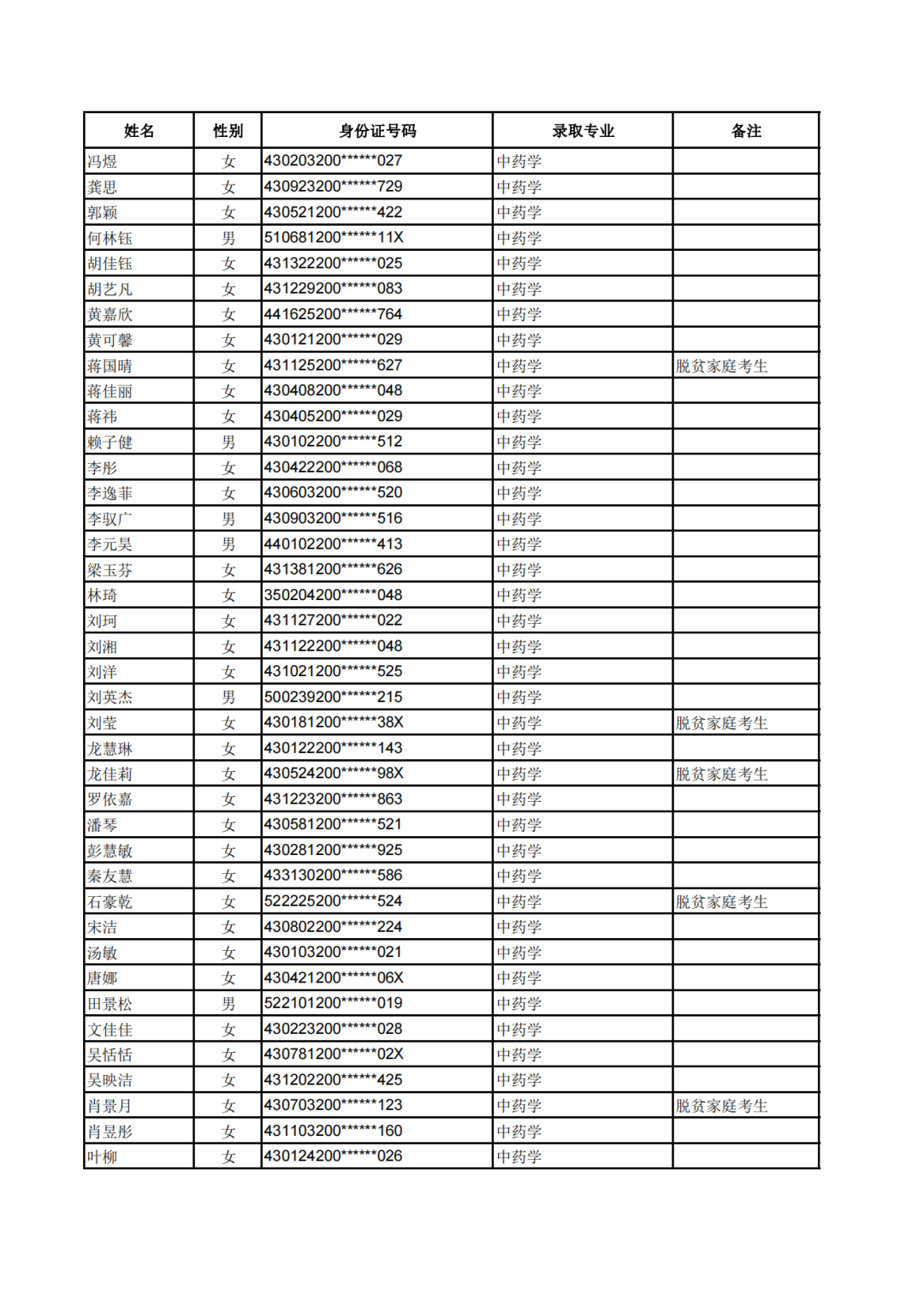
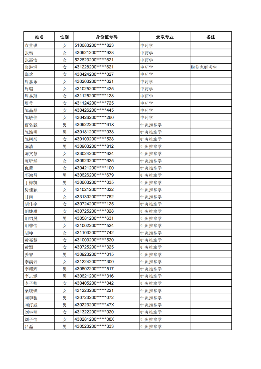
长沙医学院2024年专升本考试拟录取名单
更新时间:2024-06-03
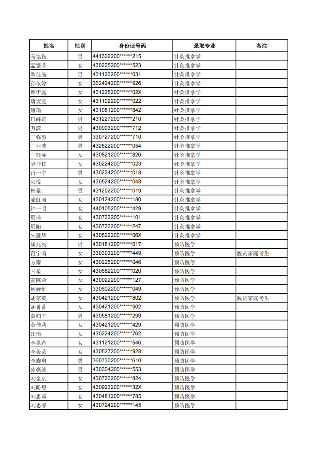
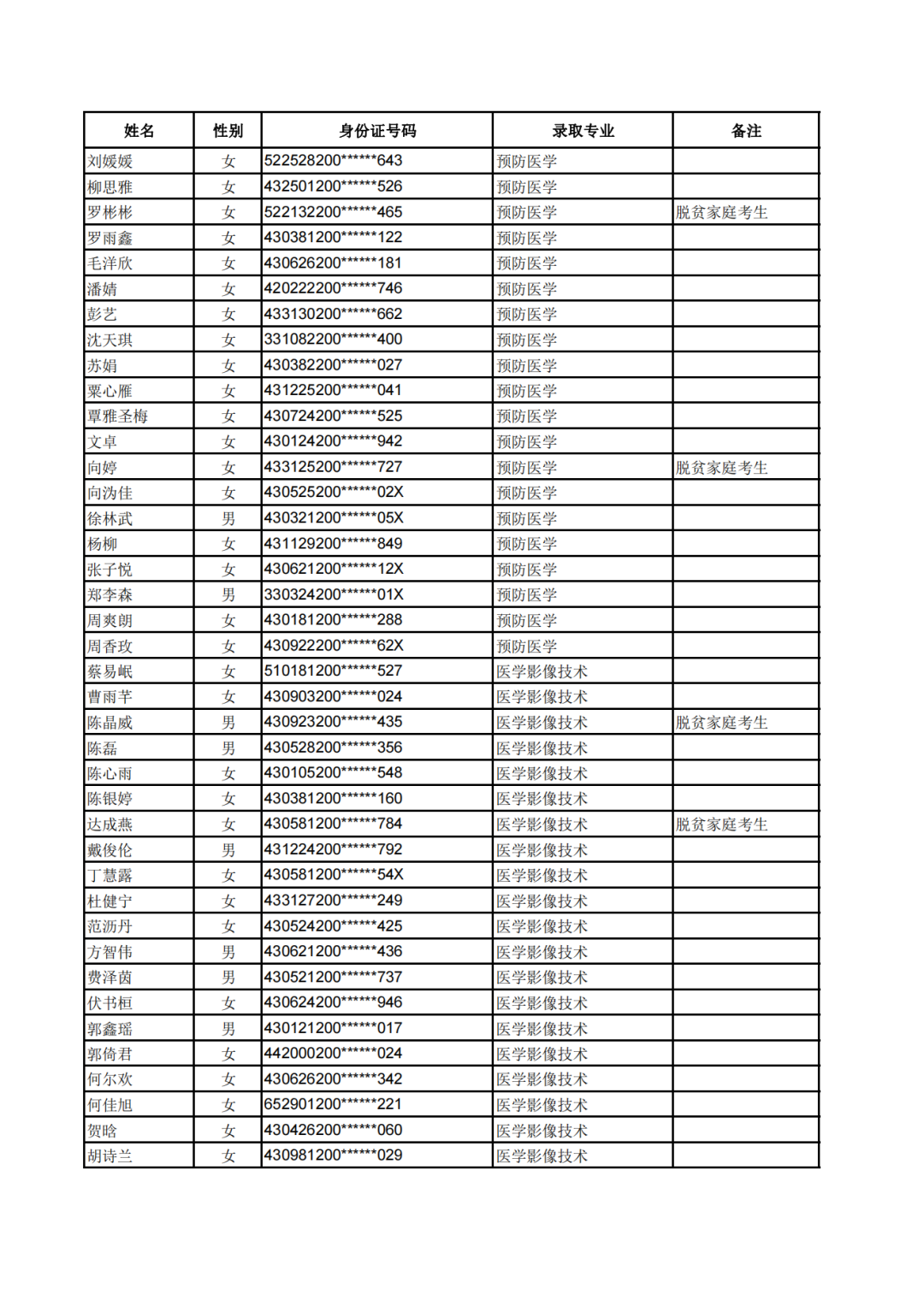
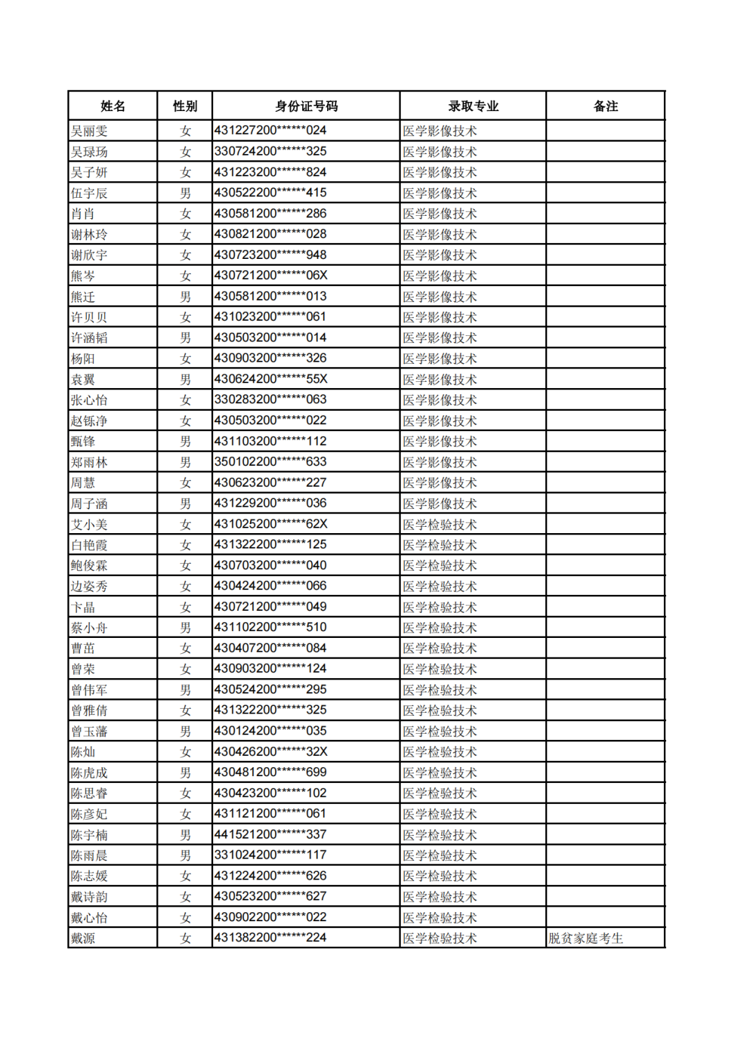
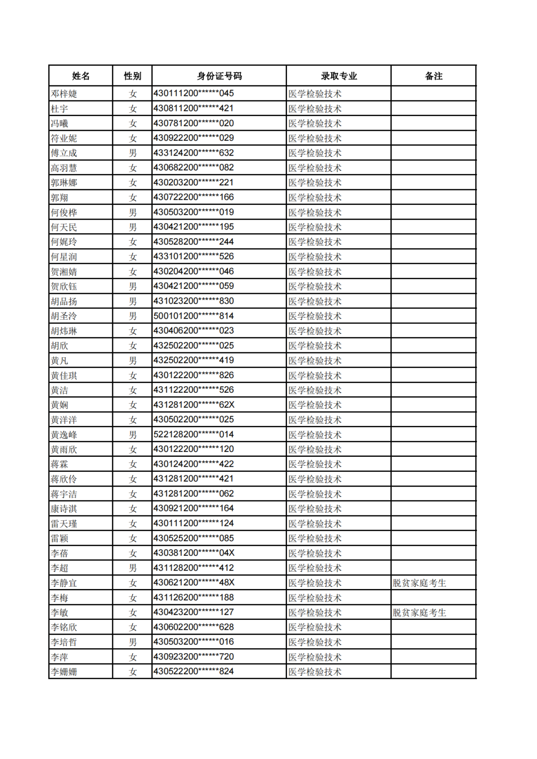
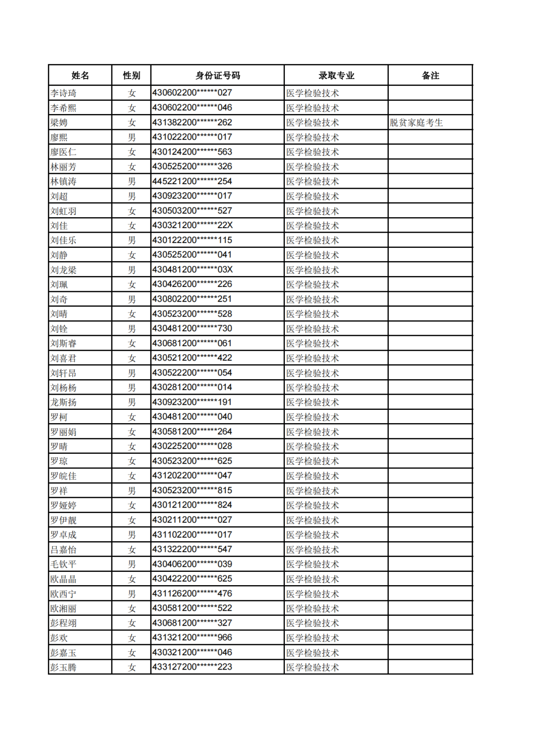
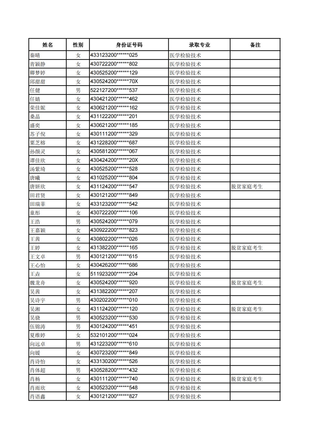
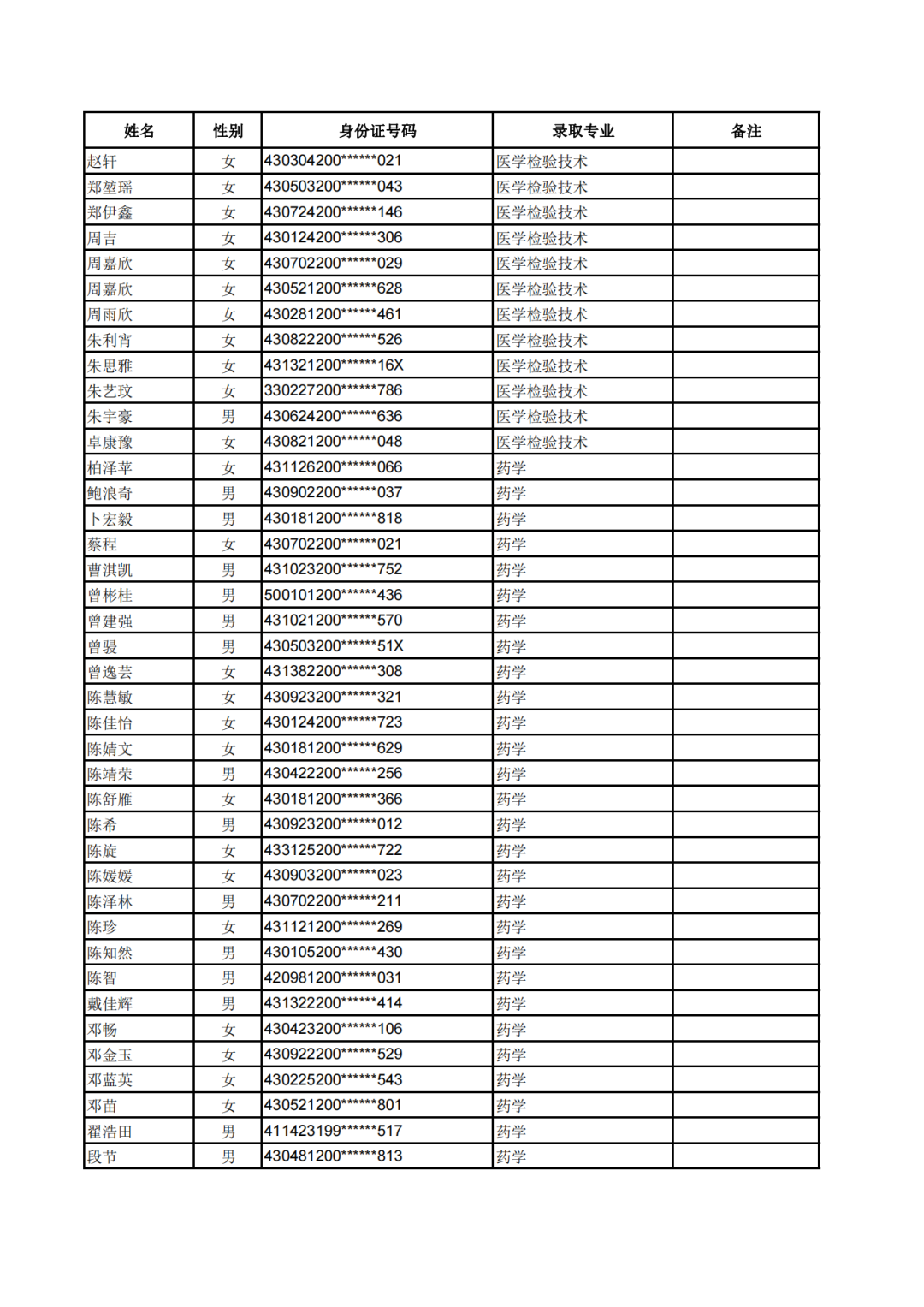
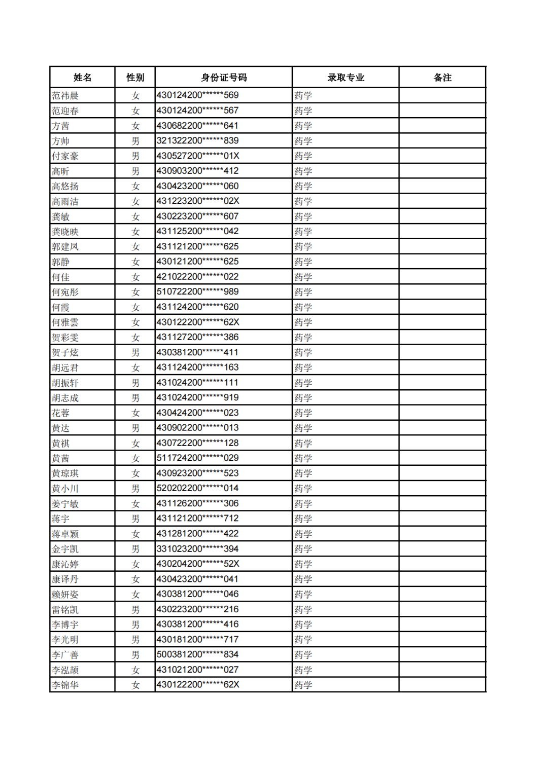
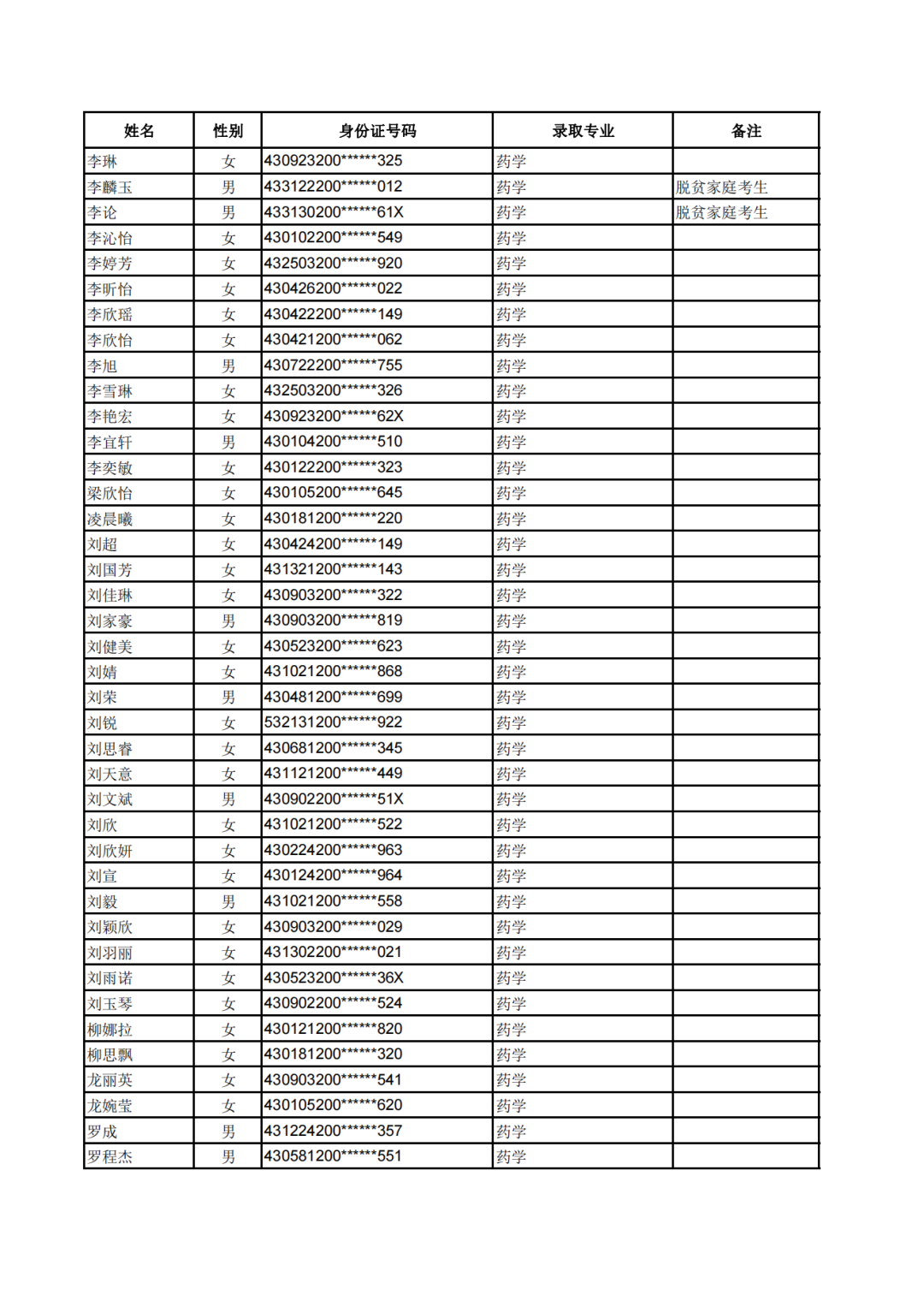
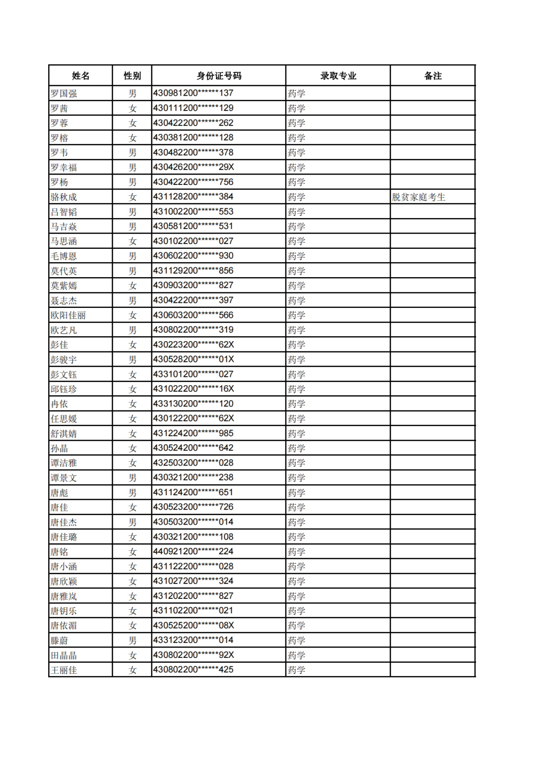
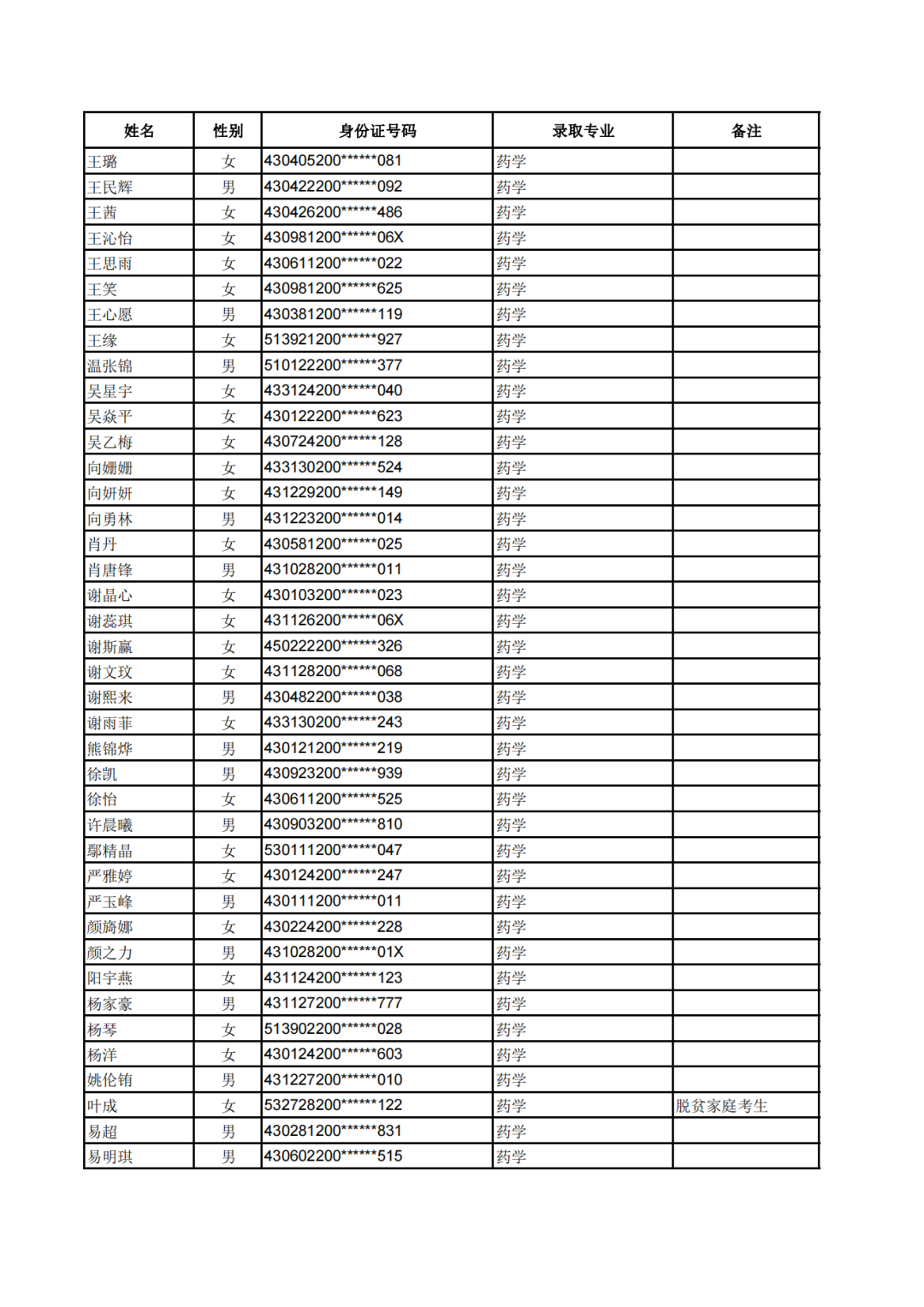
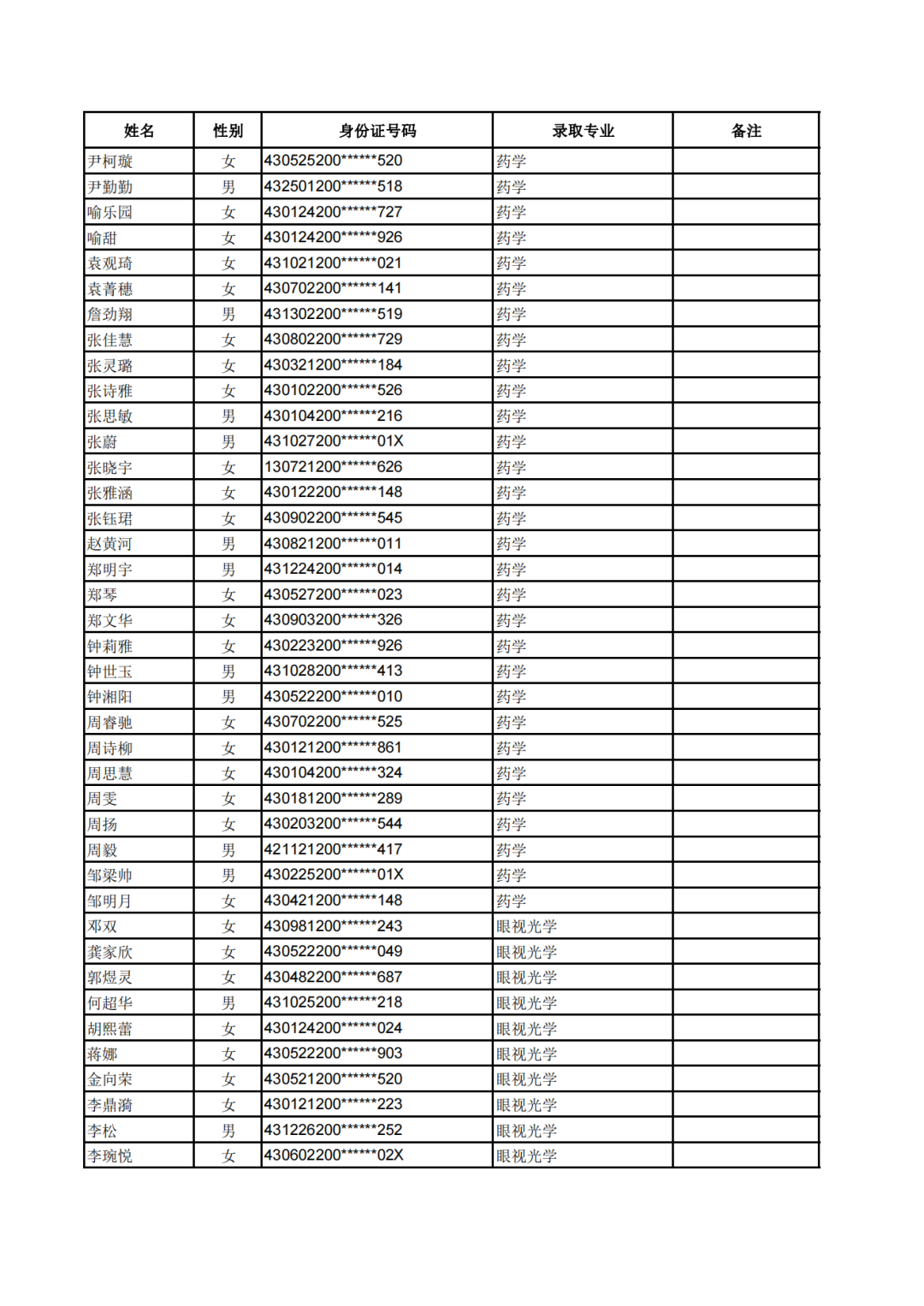
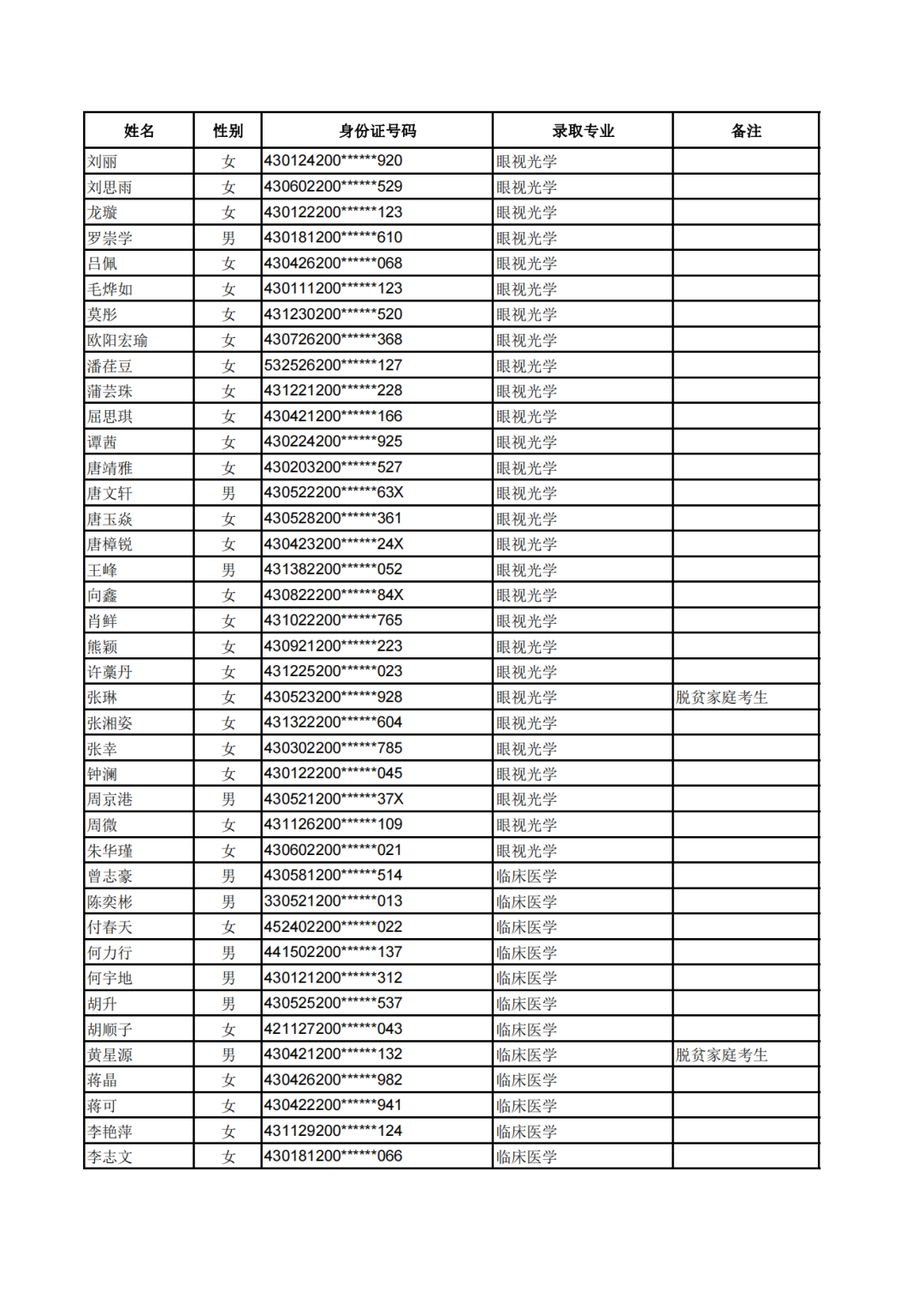
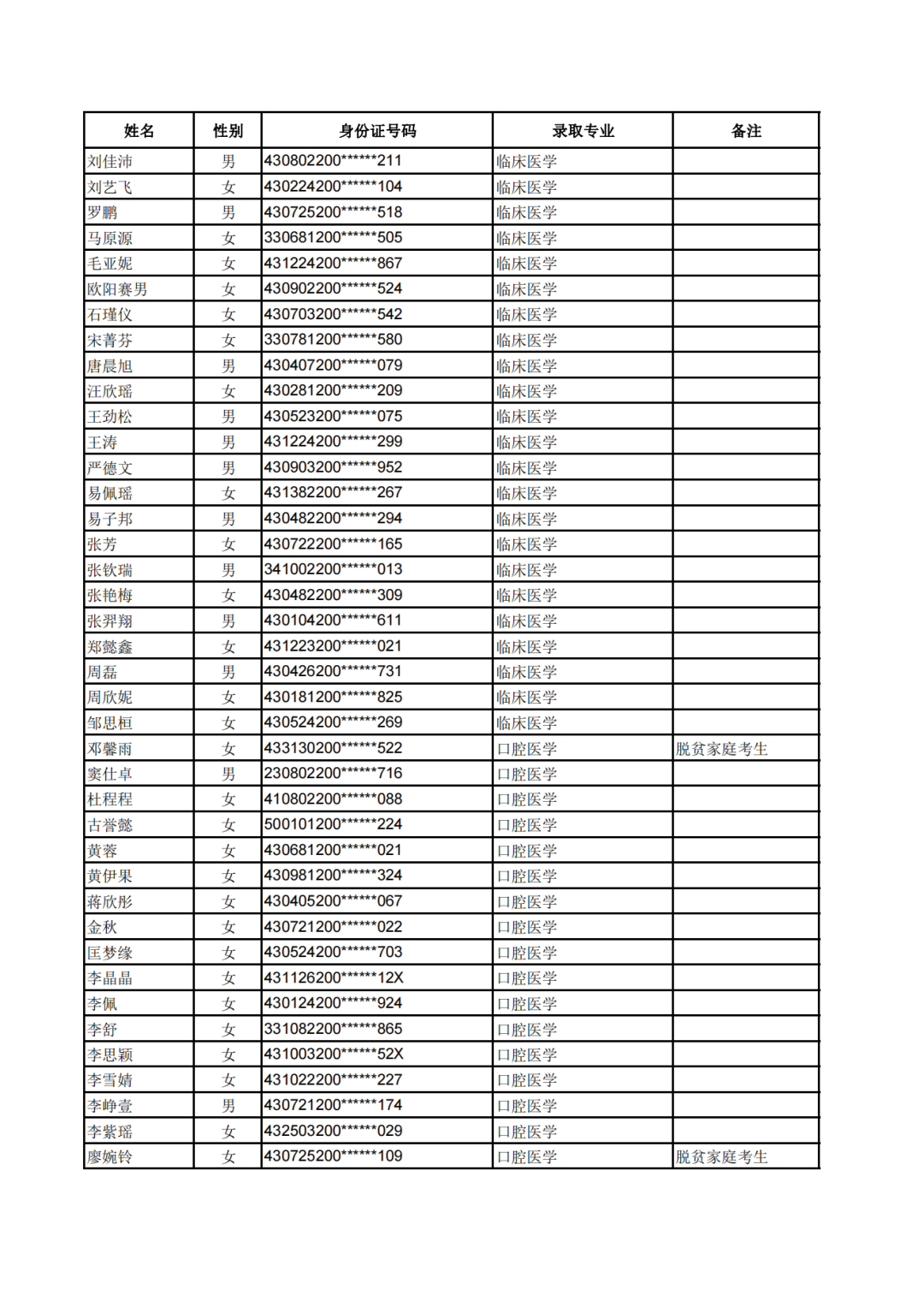
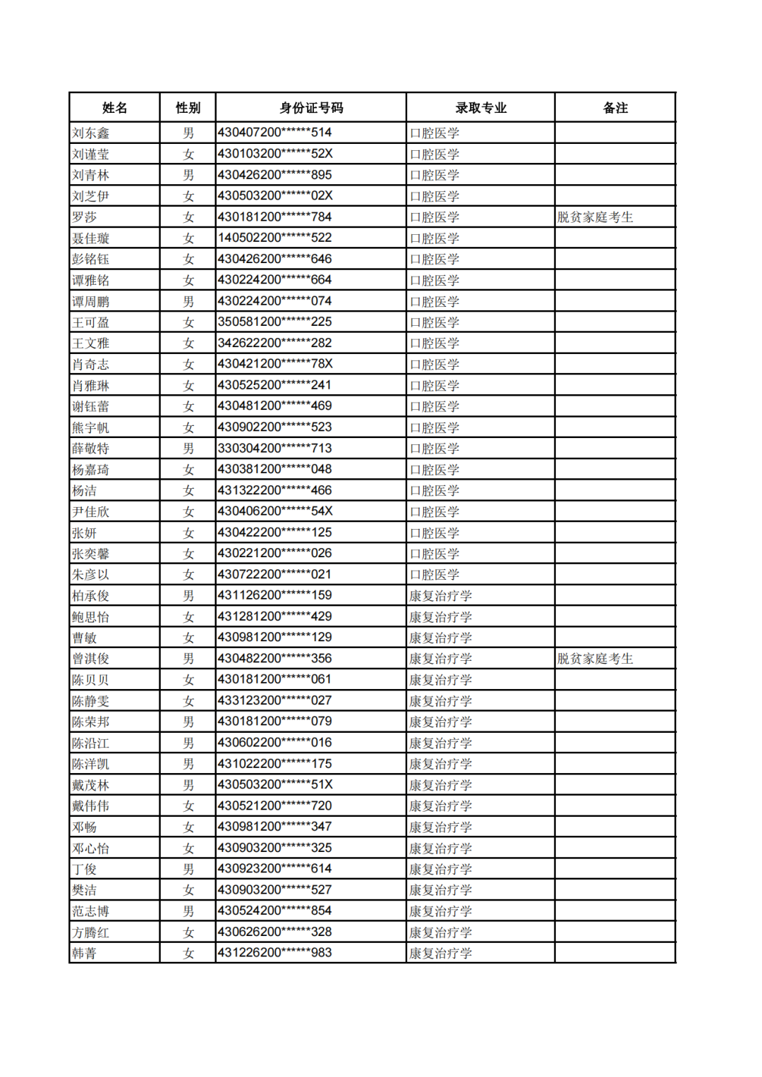
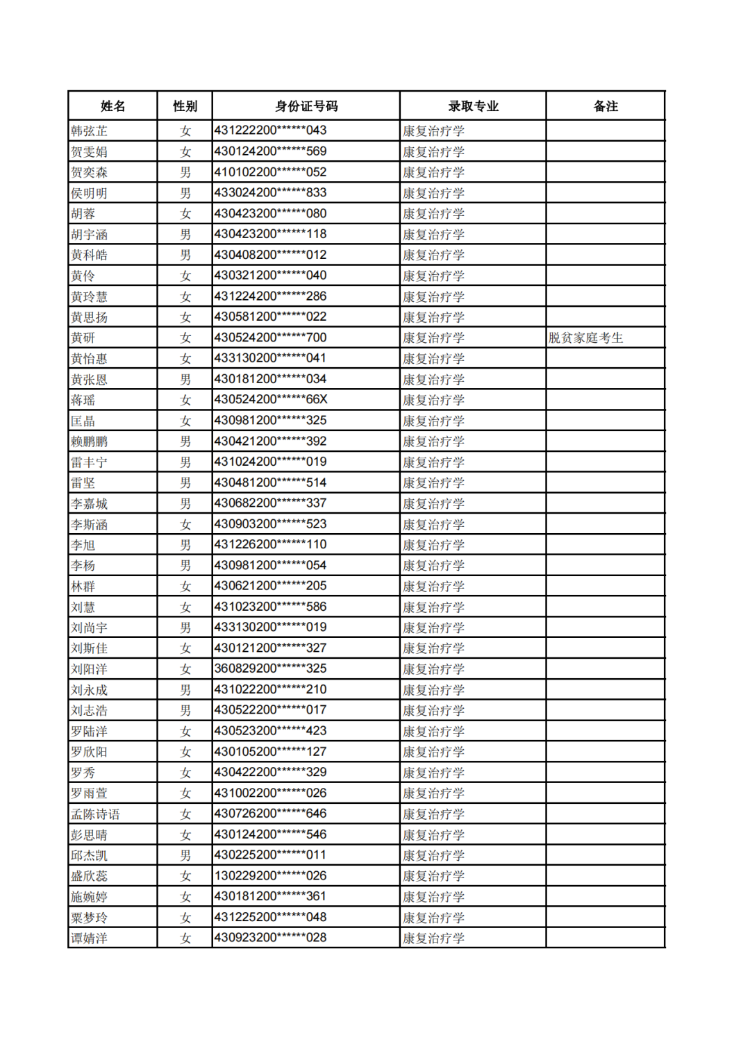
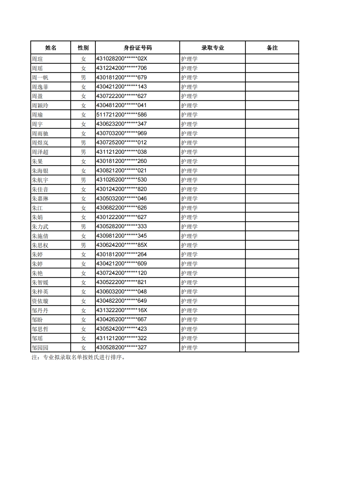
根据湖南省教育厅《关于做好2024年湖南省普通高等学校专升本考试招生工作的通知》(湘教发〔2023〕50号)和《长沙医学院2024年专升本招生章程》等文件精神,经过我校专升本领导小组审核,并按程序上报湖南省教育考试院审定,现将我校2024年专升本拟录取名单进行公示(名单见附件,不含免试生)。公示期为2024年6月3日-9日,如有异议,请在公示期内向我校监察处反映。
公示结束后,如有不符合毕业条件的考生将取消录取资格,正式录取名单以湖南省教育考试院审核为准。
联系电话:0731-88602789 88602620(监察处办公室)
0731-88602680(招生办公室)
长沙医学院招生办公室
2024年6月3日
























