湖南工学院2024年“专升本”招生考试拟录取学生名单公示
更新时间:2024-06-04
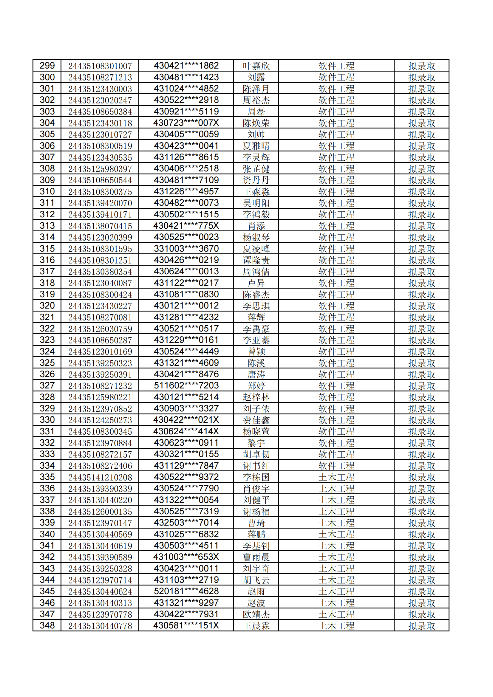
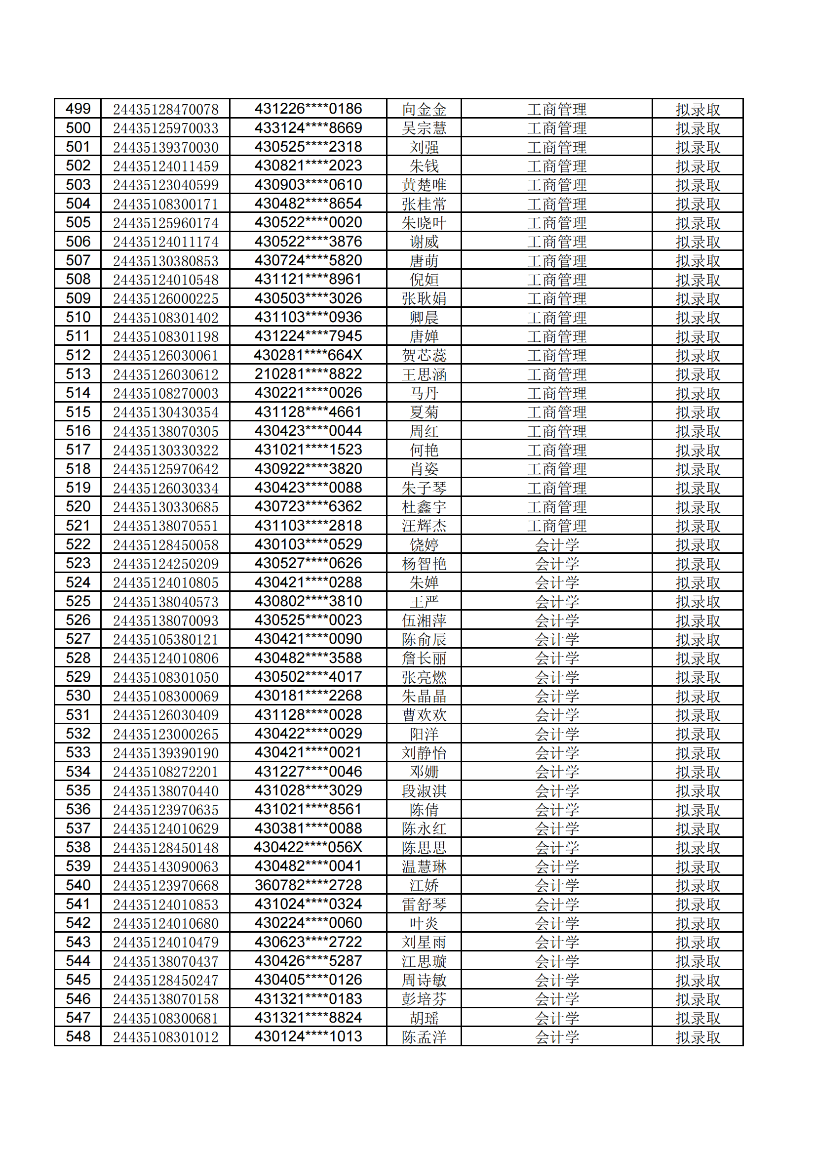
根据省教育厅《关于印发〈2024年湖南省普通高等学校“专升本”考试招生工作实施方案〉的通知》(湘教发〔2023〕50 号)和《湖南工学院2024年专升本招生章程》等文件精神,经我校“专升本”工作领导小组审核,报湖南省教育考试院审定,现将参加笔试考试考生641名拟录取学生名单予以公示(具体名单见附件)。公示期为6月4日至6月10日。公示期间,如有异议,请在公示期内以书面形式实名向学校纪委办或教务处反映。
联系电话:0734-3452056(纪委办)
0734-3452189(教务处)
湖南工学院
2024年6月4日















